Micro-optics
Micro Prism Micro Lens Micro Window Rod Lens Micro Lens ArrayOptical Spherical Lens
Plano Concave Lens Plano Convex L Lens Achromatic Cemented Lens Meniscus Lens Double Concave Lens Double Convex Lens Half Ball Lens Custom Hyper Hemisphere LensOptical Dome
Visible Optical Glass Dome Ultraviolet (UV) Dome Infrared (IR) Dome Dome With FlangeOptical Prism
Optical Wedge Window Corner Cube Retroreflector Roof Prism Pyramid Optical Octagon Light Guide Rod Penta Prism Light Guide Prism Dove Prism Cube Beamsplitter Anamorphic Prism Powell Prism 30° - 60° - 90° Littrow Dispersion PrismsCylindrical Mirror
Plano Concave Cylindrical Lens Plano Convex Cylindrical Lens Achromatic Cemented Cylindrical Lens Round Cylinder Meniscus Cylindrical LensFilter
Dichroic Filter Bandpass Filter Longpass Filter Neutral Density Filter Narrow Bandpass Filter Cut Off Filter Mosaic Filter Band Pass Linear Variable Filter Cut-off Linear Variable Filter Pixel Level (Stepped) Hyperspectral FilterOptical Window
Brewster Windows Parallel Windows Witness SamplesCNC Light Weight Component
Silicon Material Silicon Carbide Fused Silica Zerodur MacorAspherical Lens
Transmissive Aspherical Lens Reflective Aspherical LensThe optical phenomenon of passing through a non spherical lens usually involves the refraction and focusing of light on the non spherical surface. Non spherical lenses are different from traditional spherical lenses in that their surface curvature is not fixed, but varies according to design requirements to correct aberrations and improve imaging quality.
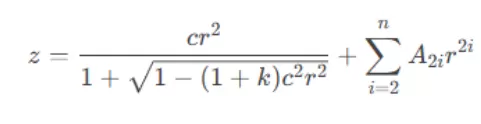
The surface of a non spherical lens can usually be described by the following formula:

Among them:
Z is the surface height.
R is the radial distance.
C is curvature.
K is the cone constant of the problem.
A2i is a high-order non spherical coefficient.
Photography lens: Non spherical lenses are widely used in high-end camera lenses to improve imaging quality.
Laser optics: used for focusing and collimating laser beams.
Medical equipment: such as endoscopes and ophthalmic instruments, require high-precision optical performance.
Virtual reality (VR) and augmented reality (AR): used to improve visual experience and reduce distortion.
More Place to Find ECOPTIK
18
2026.03
18
2026.03
30
2025.10